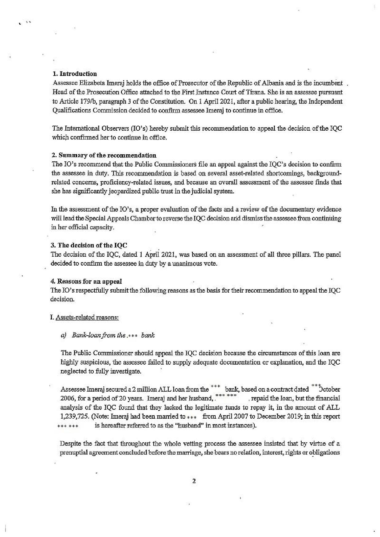
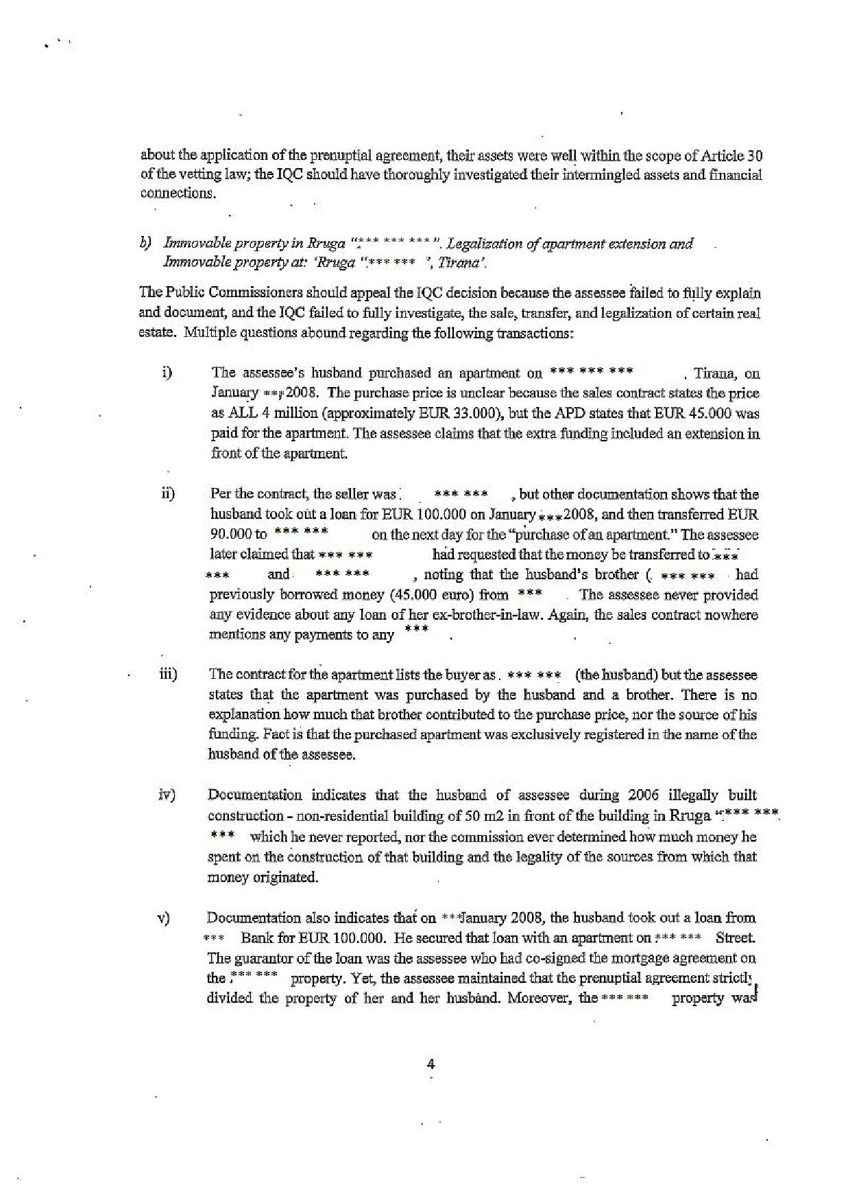
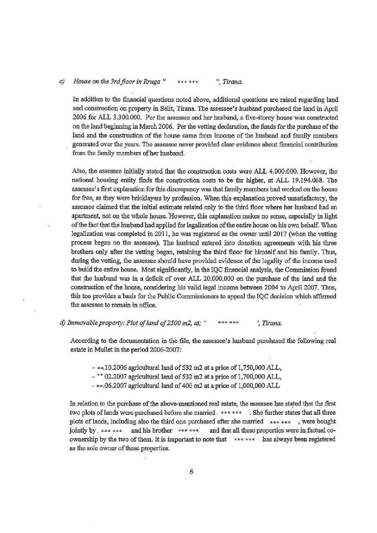
Operacioni Ndërkombëtar i Monitorimit ka ankimuar vendimin e konfirmimit në detyrë të prokurores së Tiranës, Elisabeta Imeraj, nga Komisioni i Pavarur i Kualifikimit.
ONM u ka paraqitur Komisionerëve Publikë rekomandimin për të ankimuar vendimin në Kolegjin e Posaçëm të Apelimit, për të tria kriteret e rivlerësimit.
Në njoftim thuhet se Komisionerët Publikë janë duke shqyrtuar, në të njëjtën kohë, vendimin e Komisionit të Pavarur të Kualifikimit dhe rekomandimin e Operacionit Ndërkombëtar të Monitorimit.
“Në datën 1.4.2021, në përfundim të seancës dëgjimore përkatëse, Komisioni i Pavarur i Kualifikimit vendosi konfirmimin në detyrë të subjektit të rivlerësimit, znj. Elizabeta Imeraj, me detyrë prokurore/Drejtuese e Prokurorisë së Rrethit Gjyqësor Tiranë.
Vendimi nr. 363, datë 1.4.2021, i Komisionit të Pavarur të Kualifikimit, iu njoftua Komisionerëve Publikë sot, më datë 21.6.2021. Po sot, më datë 21.6.2021, Operacioni Ndërkombëtar i Monitorimit u ka paraqitur Komisionerëve Publikë rekomandimin për të ankimuar vendimin në Kolegjin e Posaçëm të Apelimit, për të tria kriteret e rivlerësimit.
Komisionerët Publikë janë duke shqyrtuar, në të njëjtën kohë, vendimin e Komisionit të Pavarur të Kualifikimit dhe rekomandimin e Operacionit Ndërkombëtar të Monitorimit”, thuhet në njoftim.
Rekomandim për vendimin e KPK-së



























