Media sllovene “Necenzurirano.si” ka publikuar sot një “dokument diplomatik jozyrtar” që flet për ndryshim të kufijve në Ballkan.
Aty parashikohet rishikimi i kufijve të gjashtë vendeve të Ballkanit, ku përfshihet ndarja e Bosnje Herzegovinës dhe krijimin e Shqipërisë dhe Serbisë së Madhe.
Dokumentin kryeministri slloven Janez Janša ua dorëzoi disa personave të përzgjedhur në BE disa muaj më parë.
Në pjesën e “dokumentit” që flet për bashkimin e Kosovës me Shqipërinë thuhet se 95 për qind e qytetarëve të Kosovës dëshirojnë të bashkohen me Shqipërinë dhe se vullnet i ngjashëm ekziston edhe në Shqipëri. Aty thuhet se zonat e Kosovës ku serbët përbëjnë shumicën do të kenë një status special, të ngjashëm me statusin e Tirolit Jugor. Sidoqoftë, në qarqet diplomatike në Bruksel këtij “dokumenti” i referohen si “dokument slloven”, pasi dërgimi i tij në adresa të ndryshme është bërë nga kabineti i kryeministrit Jansha.
Pjesë nga artikulli i Necenzurioano.si
Që nga e hëna, ka pasur spekulime në Slloveni, Kroaci dhe Bosnjë dhe Hercegovinë nëse Kryeministri Janez Jansa dërgoi vërtet një dokument diplomatik jo zyrtar Non-Paper (“jo-letër”) në Bruksel, i cili flet për një vizatim të ri të kufijve në zonën e ish-Jugosllavisë. Askush nuk e ka konfirmuar zyrtarisht se Presidenti i Këshillit Evropian, Charles Michel, mori një dokument me një përmbajtje të tillë nga Sllovenia. Por një dokument jozyrtar diplomatik që parashikon shpërbërjen e Bosnje dhe Herzegovinës, aneksimin e Republika Srpska në Serbi dhe bashkimin e Kosovës me Shqipërinë ekziston në të vërtetë. Sot e botojmë në uncensored.si.
Sipas informacionit tonë, dokumenti me titull “Ballkani Perëndimor – rruga përpara” u mor në kabinetin e Michel në shkurt. Kush e ka shkruar nuk mund të dihet zyrtarisht. Sipas burimeve tona, sigurisht që nuk është krijuar në Ministrinë Sllovene të Punëve të Jashtme.
Sipas disa informacioneve, një pjesë e përmbajtjes së saj ishte shkruar në Budapest. Sidoqoftë, ai përmendet në qarqet diplomatike të Brukselit si një dokument “slloven”, pasi kabineti i Janša thuhet të ketë marrë pjesë në dërgimin e tij në adresa të ndryshme. Meqenëse është një dokument diplomatik jozyrtar që synon të komunikojë pozicione dhe iniciativa të ndryshme pa karakter zyrtar, ai nuk ka as kokë dhe as nënshkrim. Ai erdhi te Michel pas marrjes zyrtare të detyrës diplomatike, kështu që ekzistenca e tij mund të mohohet publikisht në çdo kohë.
Prandaj nuk është pozicioni zyrtar i Sllovenisë, por vetëm një nga propozimet joformale për një zgjidhje të mundshme të çështjeve që kanë të bëjnë me vendet e ish-Jugosllavisë. Por përmbajtja e dokumentit është në kundërshtim të plotë me të gjitha dokumentet e vlefshme mbi të cilat mbështetet politika e jashtme e vendit tonë. Për më tepër, dokumenti është bërë me porosi për qarqet nacionaliste serbe dhe kroate, të cilat kanë punuar për të copëtuar Bosnje dhe Herzegovinën për tre dekada.
E zeza mbi të bardhë: Si do të copëtohet Bosnje-Hercegovina (BiH)
Dokumenti përmend kështu në hyrje “çështjet e pazgjidhura kombëtare të serbëve, shqiptarëve dhe kroatëve” që u shfaqën pas shpërbërjes së Jugosllavisë. Autorët e dokumentit theksojnë se edhe pas vendosjes së paqes pas përfundimit të luftërave, perspektivat e premtuara evropiane dhe përparimin e Maqedonisë Veriore dhe Malit të Zi në këtë drejtim në rajon, “çështjet kyçe që mbeten të pazgjidhura”. Këto janë:
– që Marrëveshja e Dejtonit e vitit 1995, e cila i dha fund luftës në Bosnjë dhe Hercegovinë, e cila mori më shumë se 100,000 jetë, praktikisht njohu atë që ishte arritur gjatë luftës, por jo në parim.
– që për momentin është e vështirë të imagjinosh perspektivat evropiane të Serbisë dhe Kosovës.
– që anëtarësimi i BiH në BE mund të përjashtohet plotësisht.
– që ndërkohë hapësira e zbrazët po shfrytëzohet nga Turqia, e cila ka rritur ndikimin e saj në BiH dhe Maqedoninë Veriore.
– që përveç Turqisë, një grusht politikanësh lokalë dhe mbështetësve të tyre që përfitojnë personalisht nga kaosi dhe institucionet jofunksionale, askush nuk është i kënaqur me situatën në BiH.
Këtu kemi ardhur në pjesën thelbësore të dokumentit – “zgjidhjet” e propozuara për problemet e përshkruara më sipër. Autorët e dokumentit nënvizojnë se Serbia, Kroacia dhe Shqipëria aktualisht kanë qeveri të qëndrueshme dhe se politikanët e tyre të zgjedhur janë të aftë të marrin vendime strategjike. Atëherë, çfarë sugjerojnë ata?
1) Bashkimi i Kosovës dhe i Shqipërisë. “Në Kosovë, 95 për qind e popullsisë dëshiron të bashkohet me kombin natyral shqiptar. Situata është e ngjashme dhe në Shqipëri. Kufiri midis Shqipërisë (një anëtar i NATO-s) dhe Kosovës është praktikisht inekzistent. Pjesës serbe të Kosovës do t’i jepet një status i veçantë – duke ndjekur shembullin e Tirolit të Jugut “, thuhet në dokument. Është një provincë autonome në veri të Italisë, ku shumica e popullsisë është gjermanishtfolëse.
2) Bashkimi i pjesës më të madhe të territorit të Republika Srpska me Serbinë. “Çështja kombëtare serbe mund të zgjidhet kryesisht duke aneksuar një pjesë të Republika Srpska në Serbi. Në këtë rast, Serbia është e gatshme të pajtohet me bashkimin e Kosovës dhe Shqipërisë,” thuhet në dokument.
3) “Çështja kombëtare kroate mund të zgjidhet duke bashkuar kantonet kroate të shumicës në BiH me Kroacinë ose duke i dhënë status të veçantë pjesës kroate të BiH (duke përdorur modelin e Tirolit të Jugut).”
4) “Kjo do t’u jepte boshnjakëve një shtet të pavarur funksional dhe do të merrte përgjegjësinë e plotë për të. Me anë të një referendumi, njerëzit do të vendosnin nëse do të bashkoheshin me BE ose një të ardhme jashtë BE (duke ndjekur shembullin e Turqisë). Tani për tani, shumica dërrmuese e boshnjakëve mbështesin perspektivën e BE dhe një rritje e mprehtë e ndikimit turk dhe islamik radikal, situata mund të përkeqësohet në mënyrë drastike gjatë dekadës tjetër “.


A e dinte presidenti Pahor për dokumentin dhe po maste pulsin?
Sipas autorëve, këto “zgjidhje” do të shpejtonin negociatat për anëtarësimin e vendeve të Ballkanit Perëndimor në BE dhe NATO. Por këto janë propozime që kundërshtohen forcërisht nga SHBA, Gjermania, Franca dhe vende të tjera evropiane. Gjegjësisht, bashkësia ndërkombëtare thekson rëndësinë e integritetit territorial të BiH dhe kundërshton tërheqjen e re të kufijve në zonën e ish Jugosllavisë.
Kjo do të hapte kutinë e Pandorës dhe ndoshta do të çonte në luftëra të reja. Një dritë jeshile për shpërbërjen e Bosnjës dhe Hercegovinës dhe bashkimin e Kosovës me Shqipërinë do t’u jepte një impuls të ri nacionalistëve serbë në Malin e Zi dhe nacionalistëve shqiptarë në Maqedoninë veriore, dy anëtare të NATO-s.
Fakti që Sllovenia dhe Jansa (kryeministri slloven) përmendet në lidhje me këtë dokument është ndoshta goditja më e madhe për presidencën e ardhshme sllovene të BE. Kur media nga BiH raportoi për këtë dokument në fillim të javës, Jansa deklaroi si përgjigje se “Sllovenia po kërkon seriozisht zgjidhje për zhvillimin e rajonit dhe perspektivën evropiane të vendeve të Ballkanit Perëndimor”.
Por ai nuk e mohoi në mënyrë të qartë ekzistencën e dokumentit. Ai vetëm theksoi se “do të ishte e vështirë t’i dorëzohej diçka Charles Michel në shkurt ose mars, pasi ai u takua për herë të fundit vitin e kaluar”. Por ka shumë mënyra të mundshme në të cilat dokumenti arriti në Bruksel. Për shembull, në mes të shkurtit në Poloni, Michel mori pjesë në një takim që shënonte 30 vjetorin e Grupit të Vishegradit, i cili u ndoq gjithashtu nga Kryeministri hungarez Viktor Orban, aleati më i afërt politik i Janshës në BE.

Por Pahor udhëtoi drejt Sarajevës, pasi Michel mori dokumentin. A është me të vërtetë e mundur që Pahor nuk dinte për të? A e shtroi ai çështjen e shpërbërjes paqësore të BiH sepse ndjeu terren për dikë tjetër?
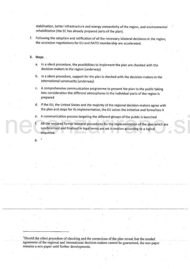
Dokumenti flet gjithashtu për “hapat” e ardhshëm. Konkretisht, në verifikimin “e heshtur” me vendimmarrësit në rajon dhe bashkësinë ndërkombëtare nëse plani mund të zbatohet. Nëse do të provonte se nuk mund të arrihej asnjë marrëveshje, dokumenti do të ruante statusin e tij “Non-Paper” (jo zyrtar). Sekretari i Shtetit i SHBA Antony Blinken gjithashtu la të kuptohet se propozimet për tërheqjen e kufijve të rinj në Ballkan po shqyrtoheshin intensivisht përmes kanaleve të ndryshme në Mars. Në një letër të hershme për presidencën e BiH në fillim të Prillit, ai përjashtoi mundësinë e bisedimeve mbi ndryshimet rrënjësore në Marrëveshjet e Dejtonit.
